
셀프-센터링 마찰 댐퍼를 적용한 강구조 모멘트 골조의 동적응답특성
Copyright © 2025 by Korean Society of Steel Construction
초록
본 연구에서는 셀프-센터링 마찰 댐퍼를 적용한 강조 멘트 골조의 동적응답특성을 비선형 동적해석을 통해 분석하였다. NMF, SMF, SCMF 모델을 비교한 결과, SCMF와 SMF 모델은 NMF 대비 층간 변형각이 약 20–30 % 저감되었다. 특히 SCMF는 1층 골조의 해석에서 잔류변위가 0.1 mm 이하로 나타나 우수한 복원 성능을 보였다. 한계상태에서도 안정적인 거동을 유지하여 구조물의 내진성능 향상 효과를 확인하였다.
Abstract
This study analyzed the dynamic response characteristics of steel moment frames equipped with a self-centering friction damper (SCMF) through nonlinear dynamic analysis. A comparison of the NMF, SMF, and SCMF models showed that the SCMF and SMF models reduced interstory drift by approximately 20–30 % compared to the NMF model. In particular, the SCMF model exhibited residual displacements of less than 0.1 mm in the 1 story frame analysis, demonstrating excellent self-centering performance. Even at the limit state, the SCMF maintained stable behavior, confirming its effectiveness in enhancing the seismic performance of the structure.
Keywords:
Self-Centering friction damper, Steel hysteretic damper, Residual displacement키워드:
셀프-센터링 마찰 댐퍼, 강재 이력형 댐퍼, 잔류변위1. 서 론
지진으로 인한 구조물의 손상은 인명 피해뿐만 아니라 장기적인 기능 마비와 경제적 손실을 초래한다. 이를 저감하기 위해 다양한 마찰 댐퍼들이 개발되어왔으나 지진동 발생 이후 댐퍼의 잔류변위가 발생하여 지진 이후 사용성과 복원성에 한계가 있음이 지적되어 왔다[1]. 이에 따라 SMA 연선, 스프링 등 여러 재료적 특성을 활용하여 복원력이 부여된 마찰 댐퍼에 관한 국내·외의 연구들이 이루어져 왔다[1]-[3]. 앞선 선행연구[1]에서는 마찰면의 기하학적 형상에 경사각을 부여하여 비교적 간단한 방법으로 복원력을 도입한 셀프-센터링 마찰 댐퍼를 개발하여 장치의 이력 및 복원 특성을 실험적으로 검증하였다. 그러나 기존 연구들은 대부분 장치 수준의 성능평가에 국한되어 있으며, 장치를 적용한 실제 골조 시스템에서의 동적 거동에 대한 연구는 아직 미비하다. 이로 인해 장치의 감쇠 효과와 잔류변위 저감 성능을 구조물 차원에서 검증하기 어렵다. 따라서 본 연구에서는 셀프-센터링 마찰 댐퍼가 적용된 골조의 동적응답특성을 분석하기 위해 지진응답해석을 실시하여 댐퍼가 적용되지 않은 골조, 구조물의 강성 및 감쇠를 향상 시키며 안정적인 이력 거동을 통해 다양한 형태로 개발되고 있는 제진장치인 강재 이력형 댐퍼[5]-[7]가 적용된 골조와 비교 분석하고자 한다.
2. 셀프-센터링 마찰 댐퍼
Table 1에는 셀프-센터링 마찰 댐퍼(Self-Centering Friction Damper, SCFD)의 형상 및 구성요소를 나타내었다. 1번의 스크류 볼트는 압축 스프링의 선 압축력 조절 및 고정의 역할을 하며, 2번의 변위 제어 플레이트는 스프링 하중으로 인해 발생되는 상부 플레이트의 처짐 방지 목적으로 설계되었으며, 실제 장치는 옆면 전체를 지지하도록 설계되지만, 실험에서는 장치 거동의 관찰을 용이하게 하기 위해 적절한 폭으로만 구성하였다. 8, 9번의 Side, Mid Slider는 서로 접합하고 있으며, 상대 변위로 인해 생기는 마찰로 인해 에너지를 소산하며, 마찰면의 경사각에 의해 복원력이 발생하게 된다. 또한 장치의 원활한 거동을 위해서는 수평 변위 발생 시에 장치에 부가되는 횡력을 저항하기 위한 요소가 필요하므로, 5번의 가이드핀이 4번의 볼 가이드 포스트 속으로 축 방향으로 볼을 통한 슬립 거동을 하게 하여, 횡력을 부담하도록 하였다. 이를 통해 9번의 스프링이 횡력을 받지 않고, 축 방향으로만 원활히 압축되도록 유도하였다. 선행 연구의 성능실험의 결과를 반영하여 해석에서의 장치의 이력 및 복원 특성을 반영하였다.
3. 해석 계획
3.1 해석모델 및 세부 설정
해석모델은 층고 3.5 m 경간 6 m의 1경간 1, 3, 5, 10층 2차원 프레임으로 설정하며, 각 층의 중량은 10 kN/m2로 설정하여, 건물의 폭을 8 m로 가정해 480 kN으로 산정하였다. 보와 기둥 부재는 H형강을 사용하였으며, 단면 형상비는 보의 경우 2 기둥은 1이 되도록 하였다. 또한 부재의 강종은 SS275(Fy = 275N/mm2) 강재의 재료 특성을 사용했다.
주요 해석변수는 댐퍼의 유무, 구조물의 층수이다. 해석모델의 세부 설정은 Table 2에 정리하였으며, 위의 설명에서는 1층의 해석모델에 예시로 제시하였다. 다층 골조의 경우에도 Element Type을 동일하게 설정하였다. Fig. 1에는 댐퍼의 거동을 모사하기 위해 사용한 이력모델을 나타냈다. 두 댐퍼의 모두 대각 방향으로 Spring Element를 배치하였으며, 강재 이력형 댐퍼는 이선형 모델인 bi-linear를 사용하여 이력을 구현하였고, 셀프-센터링 마찰 댐퍼는 깃발형 이력모델인 bi-linear slip 모델을 적용하여 스스로 원점으로 회귀가 가능한 이력 및 복원 특성을 구현하였다. 본 연구에서의 구조 시스템은 Fig. 2에 나타내었다. 주요 부재의 손상을 방지하기 위해, 댐퍼가 선행 항복하도록 설계하였다. 이를 위해(Filiatrault et al.)[5]에서 제시한 최적 슬립 하중의 유효 범위를 고려하여, 댐퍼의 확실한 슬립 거동을 유도하고 안정적인 에너지 소산이 가능한, 부재설계 시 산정한 층전단력(Qyi)의 50 %를 댐퍼의 항복내력으로 산정하였다. 셀프-센터링 마찰 댐퍼는 이론적으로는 무한한 초기 강성을 가지지만, 선행 연구의 성능실험을 통해 초기 강성이 발현됨을 확인하였다. 이에 따라 본 해석에서는 이러한 실제 물리적 거동을 모사함과 동시에 해석의 수렴성을 확보하기 위해 실험 결과와 가장 부합하는 항복 변위(δy) 1 mm에 상응하는 초기 강성 설정하였으며, 강재 이력형 댐퍼는 항복 변위(δy) 2 mm가 되도록 설정하였다. 또한 셀프-센터링 마찰 댐퍼는 경사각 20゚ 마찰계수 0.2에 상응하는 이력 및 복원 특성을 반영하여 2차 강성 및 이력의 면적을 결정하였으며, 강재 이력형 댐퍼의 2차 강성비의 경우 Park[6]의 실험 결과를 바탕으로 0.02로 설정하였다.
부재 설계는 ‘에너지 평형법에 의한 건축물의 내진설계’에서 제안하는 최적항복전단력계수 에 근거한 각 층의 항복전단력계수 αi에 따라 결정되는 층 내력에 대해 설계하였다[7]. 식 (1)은 항복전단력을 상부층의 중량으로 나눈 무차원값인 항복전단력계수를 산정하는 방법이다.
| (1) |
Qyi는 i층의 항복전단력, 는 i층 상부의 전 중량이다.
각 층의 항복전단력계수를 1층의 항복전단력계수로 나눈 값의 분포는 각 층의 층전단력 분포를 정의하는 무차원 값이며, 층별 강도분포를 표현할 수 있다. 국내에서는 오상훈(2013)이 구조물의 고유주기에 따른 최적 설계 층전단력 계수 분포식을 제안[5]하였고, 산정식은 식 (2)에 나타내었다.
| (2) |
, , T는 구조물의 고유주기, x/H는 구조물의 전체높이(H)에 대한 각층의 높이(x)의 비이다.
구조물의 고유주기는 국내기준 KDS 41 17 00[6]의 구조물 1차 고유주기 산정 간략식을 사용하였으며, 식 (2)를 통해 층별 최적항복전단력계수가 정해지면 식 (3)을 통해 각 층의 설계 층전단력을 산정할 수 있다.
| (3) |
αz1은 지역 조건에 따른 1층의 층 전단력계수로 본 해석에서는 보수적으로 0.2로 설정하였다.
앞서 산정한 각 층의 층전단력을 토대로 Fig. 3와 같이 부재 설계를 진행하였다. 각 층의 보의 양단부에 소성 힌지가 발생한다고 가정하여, 층전단력 Qyi와 hi의 곱은 해당 층의 보 부재에 작용하는 전체 외력이 된다. 보의 복원력 특성 설정 시 휨 변형만을 가정하였으므로, 소성 설계법에 근거하여 보의 전소성모멘트를 산정하였다. 산정된 전소성모멘트로부터 소성단면계수를 통해 이에 상응하는 부재의 단면 크기를 결정하였다. 보 항복형 매커니즘을 유도하기 위해 기둥 부재의 경우 앞서 산정한 보의 전소성모멘트에 1.2배인 단면으로 설정하였다. 이 과정을 식 (4)–식 (6)에 나타내었다.
| (4) |
| (5) |
| (6) |
bMp는 보의 전소성모멘트, cMp는 기둥의 전소성모멘트이다.
3.2 해석방법
비선형 시간 이력 해석 프로그램인 CANNY(ver.2012)를 사용하였으며, 철골 골조임을 고려하여, 2 %의 Rayleigh 감쇠를 적용하였다. 해석에 사용한 지진파는 역사 지진파인 El Centro NS, Kobe NS, Hachinoe NS, Taft EW로 총 4개를 사용하였다. 지진파의 정보 및 시간에 대한 가속도 이력을 Table 3, Fig. 4에 나타내었다.
본 해석에서는 지진파의 원파 입력 이후 가속도 배율을 조정하며, 아래의 3가지의 한계상태를 설정 후, 한 가지 조건이라도 충족 했을 시 해석을 종료하였다. η는 누적소성변형배율로써 손상에너지의 무차원량으로서 손상의 척도이다. 강재 이력형 댐퍼의 한계상태는 선행연구(Oh et al.)[6]의 실험을 통해 얻은 보편적인 누적소성변형배율인 η = 400으로 설정하였다.
- 1) 기둥, 보 부재(η = 6) 도달
- 2) 층간 변형각 0.02 rad 도달
- 3) 강재 이력형 댐퍼 η = 400 도달
- 셀프-센터링 마찰 댐퍼 η = 1500 도달
4. 해석 결과
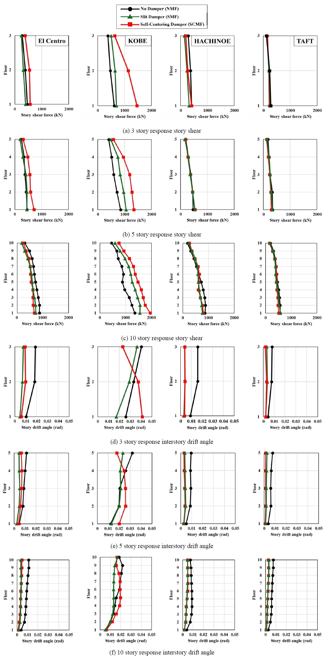
4.1 응답 층전단력 및 응답 층간변형각
4개의 지진파의 원파(Scale1.0) 입력 시 각 층별 구조물의 응답 층전단력 및 응답 층간변형각을 Fig. 5에 나타내었다. El Centro, Kobe의 지진파에서는 댐퍼가 상대적으로 큰 소성 거동을 함에 따라 본 모델의 전체 구조시스템(Fig. 2)에서는 응답 층전단력이 SCMF > SMF > NMF 순으로 더 크게 나타난다. 5층 모델의 Kobe 지진파에서의 해석을 예로 들면 해당 모델의 NMF 1층의 층전단력에 비해 SCMF, SMF의 층전단력은 각각 1.58, 1.23배 크게 산정되었다. 반면, Hachi noe, Taft 지진파에서는 구조물이 탄성 거동 또는 제한적인 댐퍼의 소성 거동을 하였기 때문에 3개 모델 모든 층에서 응답 전단력의 차이가 15 % 이내의 유사한 범위에서 나타났다. 대부분의 응답 층간변형각에서는 SMF와 SCMF가 NMF에 비해 20–30 % 응답이 저감되는 경향을 보였다. 그러나 Kobe 지진파의 경우, Self-Centering 댐퍼를 적용한 SCMF 모델에서 일부 층의 변형각 응답이 NMF 모델보다 더 크게 나타내었다. 이는 Self-Centering 댐퍼가 상대적으로 높은 초기 강성으로 인해 구조물의 고유주기가 0.36 sec로 단주기화되었다. Kobe 지진파의 응답 스펙트럼 분석 결과, 해당 주기 대역(0.36 sec)은 탁월주기 대역에 포함되어, 이에 따라 더 큰 응답을 유발한 것으로 판단된다.
4.2 층별 잔류변위
4개의 지진파의 원파(Scale1.0) 입력 시 1층 모델 기둥 상단 Node의 시간에 따른 변위와 최대변위 및 잔류변위를 Fig. 6, Table. 4에 나타내었다. 해석 결과, 댐퍼가 적용된 SMF와 SCMF 모델 모두 NMF에 비해 최대변위가 현저히 감소하였으며, 이는 댐퍼 설치로 인한 구조 강성의 증가와 진동 응답 저감 효과에 기인한다. 최대변위는 지진파에 따라 약 18 %에서 최대 77 %까지 감소하는 것으로 나타났다. 지진동 종료 후의 잔류변위 역시 댐퍼의 적용 여부에 따라 뚜렷한 차이를 보였다. 특히 SCMF 모델은 모든 지진파에서 잔류변위가 0.1 mm 이내로 나타나, 지진 이후 구조물의 복원력을 유지함을 확인하였다. SMF 모델 또한 NMF 모델에 비해 잔류변위의 저감을 확인하였으나, Kobe 지진파에서는 댐퍼가 한계상태(η = 400)에 도달하여 잔류변위가 비교적 크게 발생하였다. 이는 구조 부재의 손상 누적 및 보수보강의 필요성을 초래할 수 있다. 이 결과로부터 셀프-센터링 마찰 댐퍼의 복원 능력을 통해 지진 후 잔류변위를 효과적으로 저감 할 수 있음을 확인하였다.
또한, 다층 골조(3, 5, 10층)의 잔류변위를 비교한 결과를 Fig. 7에 나타내었다. 그림에서 X축은 NMF 모델을 기준으로 한 SMF 및 SCMF 모델의 잔류변위비를 나타내며, 1 미만일 경우 잔류변위가 감소했음을 의미한다. SCMF 모델은 모든 모델에 대한 잔류변위비가 0.2 이하로 나타났으며, 층별 편차가 거의 없는 균일한 분포를 보였다. 이는 셀프-센터링 마찰 댐퍼의 복원력으로 인해 각 층의 잔류변위가 효과적으로 억제된 것으로 판단된다. 반면, SMF 모델은 전반적으로 잔류변위비가 1 이하로 저감되었으나, 일부 층에서 상대적으로 큰 잔류변위비를 보이며 층별 분포의 불균형이 확인되었다. 이는 강재 이력형 댐퍼의 비가역적 변형이 누적되어 일부 층에서 잔류변위가 증가한 것으로 판단된다.
4.3 한계상태에서의 응답특성
앞서 정의한 세 가지 한계상태 중 어느 하나라도 만족할 경우 해석을 종료하였으며, 그 시점의 지진파 스케일 배율을 Fig. 8에 나타내었다. Y축은 원파(Scale 1.0)를 기준으로 한 입력가속도 배율을 나타낸다. 해석 결과, 대부분의 경우 SCMF > SMF > NMF 순으로 더 큰 입력가속도 수준에서 해석이 종료되었다. 이는 SCMF 모델이 가장 높은 입력가속도에서도 안정적인 거동을 유지하며 한계상태에 도달했음을 의미한다. NMF의 대부분의 모델에서는 특정 층의 층간변형각이 허용 한계에 도달하며 해석이 종료되었다. SMF 모델은 경우 SCMF 모델과 달리 댐퍼의 변형한계로 인해 해석이 종료된 경우가 관찰되었다. 이는 셀프-센터링 마찰 댐퍼에 비해 낮은 강재 이력형 댐퍼의 한계상태(η = 400)로 인한 것으로 판단된다.
한계상태 시의 층별 부재별 손상분포를 Fig. 9에 나타내었다. 전체 해석 결과가 유사한 경향을 보였기 때문에, 대표적으로 El Centro 지진파의 결과를 나타냈다. 그림은 구조물의 전체의 누적소성변형배율 중 각 층 및 부재가 차지하는 비율을 나타낸 것이다. 1층 NMF 모델에서는 기둥이 95 % 이상 손상을 부담하였으며, 반면, 댐퍼를 적용한 SMF, SMCF 모델에서는 댐퍼가 전체 손상의 약 98 % 이상을 분담하였다. 다층 골조(3, 5, 10층) 모델에서는 기둥의 손상이 거의 나타나지 않았고, NMF 모델의 경우 99 % 이상이 보가 손상을 부담하는 것으로 나타났다. SMF, SCMF 모델은 댐퍼가 주요 손상에너지를 흡수하여 98 % 이상 손상을 부담하는 것으로 나타났다. 또한, 댐퍼가 적용된 구조에서는 층별 손상 분포가 비교적 균등하게 나타나, 특정 층이나 부재에 손상이 집중되는 현상이 완화되었다. 이는 댐퍼가 구조물의 에너지를 효과적으로 분산시켜 주요 부재의 손상을 억제하고, 전체적인 손상분포를 균등화하는 효과가 있음을 보여준다.
5. 결 론
본 연구에서는 셀프-센터링 마찰 댐퍼를 적용한 철골 골조(SCMF)에서의 동적응답특성을 분석하기 위해 비선형 동적해석을 수행하였다. 비교 대상으로는 댐퍼를 적용하지 않은 NMF와 강재 이력형 댐퍼를 적용한 SMF로 설정하였다. 이를 통해 셀프-센터링 마찰 댐퍼의 감쇠 성능 및 잔류변위 저감 효과를 검증하였다. 본 연구의 결론은 다음과 같다.
- (1) 응답 층간변형각 분석 결과, SMF 및 SCMF 모델 모두 NMF 모델에 비해 20–30 % 수준의 응답 저감 효과를 보였다. 이는 댐퍼의 에너지소산효과로 인해 구조물의 진동응답이 감소한 결과로 해석된다.
- (2) 최대변위의 경우, SCMF 및 SMF 모델 모두 NMF 모델 대비 18–77 % 감소하였으며, SCMF 모델의 경우 모든 지진파에서 잔류변위가 0.1 mm 이하로 나타나 복원 성능이 우수함을 확인하였다. 반면 SMF 모델은 반복 거동에 따른 비가역적 변형 누적으로 일부 층에서 잔류변위가 크게 나타났다.
- (3) 한계상태에 대한 해석 결과, SCMF > SMF > NMF 순으로 더 큰 입력가속도(스케일링)에서 해석이 종료되었으며, 이는 SCMF 모델이 가장 높은 내진 안정성을 확보함을 의미한다.
- (4) 층별 부재별 손상분포 결과, NMF 모델은 기둥 및 보 부재의 손상이 집중적으로 발생한 반면, SCMF 모델은 전체 손상의 약 98 % 이상을 댐퍼가 부담하여 주요 부재의 손상이 현저히 감소하였다. 또한 층별 손상분포가 균등하게 나타나 구조의 거동이 보다 안정적으로 개선되었다.
이상의 결과를 종합하면, 셀프-센터링 마찰 댐퍼는 강재 이력형 댐퍼에 비해 에너지 소산량은 다소 적게 나타났으나, 반복 거동 이후에도 성능 저하나 잔류변위가 거의 발생하지 않아 복원 성능에서 우수함을 보였다. 따라서 셀프-센터링 마찰 댐퍼는 기존 강재 이력형 댐퍼에 비해 지진동 이후 구조물의 기능 유지와 재사용성을 확보할 수 있는 실효성 높은 제진장치로 판단된다.
Acknowledgments
본 과제(결과물)는 2025년도 교육부 및 부산시의 재원으로 부산RISE혁신원의 지원을 받아 수행된 지역혁신중심 대학지원체계(RISE)의 결과입니다(2025-RISE-02-004-202511880001-001).
References
-
Choi, E.S., and Choi, G.C. (2016) A Smart Damper Using Magnetic Friction and Precompressed Rubber Springs, Journal of Korean Society of Steel Construction, KSSC, Vol.28, No.4, pp.223–229 (in Korean).
[https://doi.org/10.7781/kjoss.2016.28.4.223]
-
Dolce, M., Cardone, D., and Marnetto, R. (2000) Implementation and Testing of Passive Control Devices Based on Shape Memory Alloys, Earthqake Engineering and Structural Dynamics, Wiley Online Library, Vol 29, No.7, pp.945–968.
[https://doi.org/10.1002/1096-9845(200007)29:7<945::AID-EQE958>3.3.CO;2-R]
-
Choi, E., Choi, G., Kim, T.-H., and Youn, H. (2015) Smart Damper Using the Combination of Magnetic Friction and Pre-Compressed Rubber Springs, Journal of Sound and Vibration, Elsevier, Vol.351, pp.68–89.
[https://doi.org/10.1016/j.jsv.2015.04.028]
-
Wang, W., Fang, C., Zhao, Y., Sause, R., Hu, S., and Ricles, J. (2019) Self-Centering Friction Spring Dampers for Seismic Resilience, Earthquake Engineering Structural Dynamics, Wiley Online Library, Vol.48, No.9, pp.987–1090.
[https://doi.org/10.1002/eqe.3174]
-
Oh, S.-H., Park, J.H., Yoon, S.H., and Han, S.M. (2025) Experimental Study on the Hysteretic and Restoring Force Characteristics of Self-Centering Friction Damper, Journal of Korean Society of Steel Construction, KSSC, Vol.37, No.1, pp.43–51.
[https://doi.org/10.7781/kjoss.2025.37.1.043(inKorean)]
-
Oh, S.H., Kim, Y.H., Kim, Y.J., Ryu, H.S., and Park, H.Y. (2020) An Analytical Study on the Deep H-Shaped Beam-to-Column Connections with Double Slit Damper Type Energy Absorption System, Journal of Korean Society of Steel Construction, KSSC, Vol.32, No.1, pp.11–22.
[https://doi.org/10.7781/kjoss.2020.32.1.011(inKorean)]
- Lee M.-H., Oh S.-H., and Yoon, M.-H. (2009) Energy Absorption Capacity of X-Type Braced Frame with Steel Plate Slit Dampers, Journal of the Architectural Institute of Korea Structure & Construction, AIK, Vol.25, No.11, pp.53–60 (in Korean).
-
Ahn, T.S., Kim, Y.J., Park, J.H., Kim, H.-G., Jang, D.W., and Oh, S.H. (2012) Experimental Study on a Cantilever Type Metallic Damper for Seismic Retrofit of Building Structures, Journal of Korean Society of Steel Construction, KSSC, Vol.24, No.2, pp.149–161 (in Korean).
[https://doi.org/10.7781/kjoss.2012.24.2.149]
-
Filiatrault, A., and Cherry, S. (1990) Seismic Design Spectra for Friction-Damped Structures, Journal of Structural Engineering, ASCE, Vol.116, No.5, pp.1334–1355.
[https://doi.org/10.1061/(ASCE)0733-9445(1990)116:5(1334)]
- Park, H.Y. (2017) Seismic Performance of Damage Controlled Structural System with Energy Absorption Devices at Beam End, Ph.D. Dissertation, Pusan National University (in Korean).
- Akitama, H. (2006) Earthquake-Resistant Design Method for Buildings Based on Energy Balance (S.H. Oh, Trans.), Gumi Seo Gwan Press (in Korean).
- Jeon, J.S. (2013) A Study on Optimum Story Shear Coefficient Distribution for Seismic Design of Structure, Master’s Thesis, Pusan National University (in Korean).
- Ministry of Land, Infrastructure and Transport. (2019) Seismic design code for buildings, KDS 41 17 00: 2019 (in Korean).
- Lee, M.H., Kim, Y.H., Oh, S.H., Heo, C., Oh, Y.S., Yoon, M.H., and Moon, T.S. (2000) Ultimate Energy Absorption Capacity of Steel Plate Slit Dampers subjected to Shear and Axial Force, Proceedings of Annual Conference of Architectural Institute of Korea Structure & Construction, AIK, pp.369–372 (in Korean).









