
인장강도 800 MPa급 블라인드 볼트 및 접합부에 대한 실험적 연구
Copyright © 2025 by Korean Society of Steel Construction
초록
이 연구는 블라인드 볼트의 기계적 성질과 접합 성능을 평가하고, 이를 기존 고장력 볼트인 F8T와 비교한 실험 결과를 다룬다. 인장시험, 쐐기 받침 인장시험, 토크 계수 시험을 수행하여 블라인드 볼트의 성능을 KS B 1010과 KCS 14 31 25에서 정의한 규격에 따라 평가하였다. 그 결과, 블라인드 볼트는 F8T와 동일한 소재로 제작되었으며, 인장강도, 연신율, 단면수축률 등에서 F8T의 성능과 유사하거나 이를 초과하는 성능을 보였다. 또한, 토크 계수 시험에서는 블라인드 볼트의 축력 범위가 제시되었다. 전단 접합 시험과 인장 접합 시험에서는 블라인드 볼트가 TS 볼트에 비해 더 높은 전단강도를 보였고, 헤드 포밍 슬리브의 큰 변형으로 인해 최대 하중에서의 변위가 크게 발생한 것으로 나타났다. 결론적으로, 블라인드 볼트는 기존 고장력 볼트와 동등한 성능을 보이며, 편측 체결 시 고장력 볼트를 대체할 수 있을 만큼 우수한 성능을 가진다고 판단하였다.
Abstract
This study evaluates the mechanical properties and joint performance of blind bolts, comparing them with conventional high-strength bolts such as F8T based on experimental results. Tensile tests, wedge bearing tensile tests, and torque coefficient tests were conducted to assess the performance of the blind bolts according to the standards defined in KS B 1010 and KCS 14 31 25. The results showed that the blind bolts were made from materials equivalent to F8T, and exhibited tensile strength, elongation, and reduction in area similar to or exceeding the performance of F8T. Additionally, the torque coefficient test provided the torque load range for the blind bolts. In the shear joint and tensile joint tests, the blind bolts demonstrated higher shear strength compared to TS bolts, and the displacement at maximum load was found to be significantly larger due to substantial deformation in the head-forming sleeve. In conclusion, the blind bolts demonstrated performance comparable to conventional high-strength bolts and were deemed capable of effectively replacing them in structural applications requiring one-sided fastening.
Keywords:
Blind Bolts, High-Strength Bolts, Joint Performance, Tensile Strength, Torque coefficient, Shear Strength키워드:
블라인드 볼트, 고장력 볼트, 접합 성능, 인장강도, 토크 계수, 전단강도1. 서 론
블라인드 볼트(Blind bolts)는 양쪽에서 체결하기 어려운 폐단면 구조물에서, 너트만을 회전시켜 볼트를 체결하거나 해체할 수 있는 편측 체결 방식을 사용하는 볼트이다. 블라인드 볼트는 외부에서 볼트의 머리부를 미리 형성할 수 있어 블라인드 볼트 전용 체결 쉬어 렌치만으로 손쉽게 체결 작업을 완료할 수 있으며, 기존 용접 방식에서 작업자의 숙련도에 따라 발생할 수 있는 품질 차이[1]가 생기지 않도록 해준다. 또한, 외부에서 접근이 어려운 위치에서도 체결이 가능하므로, 편측 체결 조건에서는 기존 용접 접합 방식을 대체할 수 있는 기술로 주목받고 있다.
구조물의 접합 방식에서는 용접 접합[2]이 주로 사용되고 있으나, 용접 작업은 고온 환경, 협소한 작업 공간 등의 다양한 현장 조건에 민감하게 영향을 받기 때문에 균일한 품질 확보 측면에서 한계를 갖는다[3]. 다만, 고장력 볼트는 별도의 작업 장비나 작업자의 숙련도와 관계없이 체결 쉬어 렌치로만 체결이 가능하므로 시공성 측면에서 유리하며, 볼트홀로 인한 단면 손실이 구조적 설계에 반영될 수 있는 접합부에서는 특히 적합하다.
양쪽에서 체결이 어려운 폐단면 구조물에서는 일반적인 고장력 볼트가 아닌 편측 체결 볼트인 블라인드 볼트에 대한 필요성이 증대된다. 블라인드 볼트 체결 방식의 접합 성능은 단순히 위치에 따른 시공 편의성뿐만 아니라 기계적 성능 확보가 병행되어야 하며, 실질적으로 체결 메커니즘에 따른 재료 및 체결 강도를 고려한 평가가 필수적이다. 이와 관련하여 블라인드 볼트는 구조적 기계 성능에 있어서도 기존 고장력 볼트와의 비교를 통한 성능 검증이 요구된다. 실제 국내 구조물 시공에서는 F8T 마찰 접합용 볼트[4],[5] 또는 토크-전단 볼트인 TS (Torque-shear) 볼트가 주로 사용되고 있다. 따라서, 블라인드 볼트는 폐단면 구조물과 같이 편측 체결이 요구되는 구조물에서 적용 가능한 접합 수단으로서 그 구조적 타당성과 적용 가능성에 대한 검토가 필요하다.
이 연구에서 사용된 블라인드 볼트는 코어 볼트(Core bolt), 헤드 포밍 슬리브(Head forming sleeve), 그립 슬리브(Grip sleeve), 너트(Nut)와 와셔(Washer)로 구성되어 있다. 특히, 코어 볼트와 너트는 TS 볼트와 동일한 형태를 띠며, 너트가 회전하며 머리부가 형성되는 방식이다. 볼트 체결 과정은 초기 단계에서 블라인드 볼트에 와셔와 너트를 임시로 체결한 후, 이를 볼트 구멍에 삽입한다. 이후 전용 체결 쉬어 렌치를 사용하여 볼트를 체결하며, 이 과정에서 그립 슬리브가 헤드 포밍 슬리브를 밀어내어 슬리브가 구부러지며 후면에 볼트 머리가 형성되는 방식이다. 블라인드 볼트를 체결하는데 사용되는 구성품 상세는 Fig. 1과 같다.
이 연구에서는 국내에서 개발된 인장강도 800 MPa 급 블라인드 볼트의 기계적 성질 및 접합 성능을 평가하였다. 기계적 성질 평가를 위해 KS B 1010[6]에 규정된 ‘마찰 접합용 고장력 6각 볼트·6각 너트·평와셔의 세트’ 기준에 따른 4호 시편 인장시험, 제품에 대한 인장시험인 쐐기 받침 인장시험, 토크 계수 시험을 수행하였다.
현재 블라인드 볼트에 대해서는 KS, ISO, ASTM, JIS 등 국내외 기준에서 별도로 정의된 규격이나 설계 기준이 존재하지 않는다. 따라서, 이 연구에서는 블라인드 볼트가 기존 고장력 볼트와 유사한 체결 구조 및 구조적 역할을 가진다는 점을 고려하여, 마찰 접합용 고장력 6각 볼트에 대한 KS B 1010[6] 등을 준수하여 기계적 성능을 평가하였다.
접합 성능 평가는 전단 성능을 확인할 수 있는 전단 접합 시험과 인장 접합 시험을 수행하였으며, 그 결과를 바탕으로 국내에서 사용되는 F8T 및 F10T 고장력 볼트 및 토크-전단용 TS 볼트와의 비교를 통해 블라인드 볼트의 접합 성능을 분석하고, 나아가 블라인드 볼트의 성능 기준을 정립하고자 한다.
2. 볼트 기계적 성질 시험
볼트의 기계적 성질을 평가하기 위해 시험편 인장시험, 쐐기 받침 인장시험 및 토크계수 시험 등 총 3가지 시험을 수행하였다. 시험편 인장시험은 볼트를 절단 및 가공하여 제작한 표준화된 시험편을 통해 소재 자체의 기계적 특성을 평가하는 시험이며, 쐐기 받침 인장시험은 실제 제품 상태의 볼트를 사용하여 전체 길이에 대한 구조적 성능을 확인하는 시험이다. 토크계수 시험은 체결 시 발생하는 축력을 측정하여 볼트의 조임 성능을 확인하는 데에 그 목적이 있다.
시험에 사용된 볼트는 M16, M20, M22, M24의 총 네 가지 직경을 대상으로 하여, 각 직경에 대해 개별적으로 성능을 평가하였다. 모든 시험은 KS B 1010[6]과 KS B 0802[7]에서 제시한 규정에 따라 수행되었으며, 그에 따른 시험 방법과 조건을 준수하였다.
2.1 시험편 인장시험
KS 표준에서는 F8T 급 고장력 볼트에 대한 인장시험의 경우 볼트 소재에 대한 시험과 제품에 대한 인장시험으로 구분하고 있다. 이 연구에서는 블라인드 볼트에 대해 KS B 1010[6]에서 규정하는 소재 인장시험 기준에 준하여 시험을 계획하였다. 시험의 대상은 M20, M22, M24 볼트를 5본씩 계획하여 KS B 0801[8]에서 규정하는 4호 시험편에 해당하는 제원으로 Fig. 2와 같이 가공하였으며, KS B 1010[6]에서 시험편의 지름은 14 mm, 표점거리는 50 mm로 취하도록 권장하고 있다. M16 볼트와 같은 경우, 가공 가능한 소재 지름이 12 mm로 KS B 1010에서 제시하는 4호 시험편의 제원을 만족하지 못하였으나, KS B 0801에서 정한 L=5D 조건을 적용하여, 표점거리 36 mm, 지름 12 mm의 시험편으로 가공하고 인장시험을 수행하였다. 시험편 인장시험에 따른 가공 제원은 Table 1과 같다.
블라인드 볼트는 기존 F8T와 동일한 소재를 사용하며 동일한 열처리 과정을 거치므로 F8T의 기계적 성질 수준과 비교하여 성능을 검증하였으며, 추가적으로 F8T보다 높은 강도 등급인 F10T와도 함께 비교하였다. KS B 1010[6]에 제시된 F8T 및 F10T의 항복강도, 인장강도, 연신율 및 단면 수축률에 대한 기준은 Table 2에 나타냈다.
가공된 시험편은 직경별로 맞춤형 지그를 사용하여 인장시험기에 고정한 후 시험을 수행하였다. 항복강도는 하중-변위 곡선에서 0.2 % offset 방법을 적용하여 산정하였으며, 연신율은 파괴 전후의 표점거리 변화율, 단면수축률은 시험 전후의 단면적 변화율을 기준으로 계산하였다.
볼트 파괴까지의 하중-변위 곡선 분석 결과, 모든 시험체에서 F8T 등급에서 요구하는 항복강도 및 인장강도를 만족하였고, 연신율 및 단면 수축률 역시 F8T 기준을 상회하는 성능을 나타냈다. 한편, M16 시험체의 경우 KS B 1010[6]에서 제시하는 4호 시험편 제원으로 가공에 어려움이 있어 KS B 0801[8]에 따라 비례 시험편 방식으로 제작하였으며, 해당 시험편 또한 KS 기준에 따른 인장 성능을 만족하는 것으로 확인되었다.
따라서, KS B 1010[6]에서 제시하는 등급별 기계적 성질 기준에 따라 평가한 결과, 블라인드 볼트는 F8T와 동일한 소재 성능을 확보하고 있는 것으로 판단하였다. 시험편 인장시험에서 도출된 하중-변위 곡선으로는 대표적으로 M20 볼트의 인장시험 결과를 Fig. 3에 나타내었다.
2.2 쐐기 받침 인장시험
소재 인장시험은 볼트를 절단 및 가공하여 시험편을 제작한 후 시험을 수행하는 반면, 쐐기(Wedge) 받침 인장시험은 쐐기 받침 인장시험용 시험체를 제작하여 볼트 전체 길이별 강도를 평가한다. 제품 시험에서는 KS B 1010[6]에서 제시하는 최소 인장강도 이상을 만족해야 하며, 볼트 머리부가 아닌 나사부 또는 몸통부에서 파괴가 발생해야 한다. 쐐기 받침 인장시험은 M16, M20, M22, M24 볼트에 대해 길이별로 1개씩 제작하여 총 3개 이상의 시편으로 시험을 수행하였다. 이 시험은 제품의 성능을 직접적으로 확인하는 시험이므로, 제조사에서 생산 중인 해당 직경의 다양한 길이 제품을 포함하여 각 길이별로 최소 3개 이상의 볼트를 선정하였다. 사용된 시험체의 제원은 Table 3와 같다.
쐐기 받침 인장시험에는 볼트에 비해 충분한 강성을 지닌 쐐기(Wedge)와 고정 지그를 사용하여 시험을 수행하였다. 모든 쐐기는 HRC 45 이상의 경도와 10°의 동일한 경사를 가지도록 제작되었다. 시험에는 정격 용량 1,000 kN의 유압식 만능시험기(UTM, Universal Testing Machine)을 사용하였다. 블라인드 볼트는 체결 전 머리부가 형성되어 있지 않기 때문에, 시험기에 장착된 쐐기 지그를 이용해 슬리브를 압축하여 머리부를 사전에 형성한 후, Fig. 4(a)에 나타낸 바와 같이 시험체를 세팅하여 시험을 수행하였다. KS 표준에서는 제품의 최대하중 도달 여부를 판단 기준으로 제시하므로 이에 따라 M20×110 mm 시험체에 대해서만 대표적으로 파괴까지 시험을 수행하였으며, 이후 다른 시험체는 최대 하중 도달 후 하중이 감소하는 시점까지 시험을 수행하였다. 또한, 시험에는 슬리브, 와셔, 너트 등 부속 부품은 제외하고, 볼트 샤프트와 형성된 머리부만을 포함하여 시험을 수행하였다.
대표적으로 M20×110 mm 시험체에 대해 볼트 파괴 시까지 하중을 가력한 결과, 볼트 샤프트에서 파괴가 발생하였다. 볼트의 주요 파괴 형상은 Fig. 4(b)에 제시하였다. 블라인드 볼트의 최소 인장강도는 쐐기 받침 시험 결과를 기반으로 KS에서 규정한 F8T 및 F10T의 최소 인장강도, 실험 결과의 95 % 신뢰구간 하한값, 시험체별 측정된 최소 인장강도 중 가장 작은 값으로 결정하였다. 이에 따라 모든 시험체에서 F8T의 최소 인장강도를 기준으로 결정하였다. 모든 시험체에 대한 쐐기 인장시험 결과 및 인장강도 결정 과정을 Table 4에 정리하였다.
제품의 호칭 및 길이에 따라 인장시험을 수행한 결과, 모든 시험체에서 KS에서 제시하는 F8T 최소 인장강도를 만족하는 성능으로 나타났다. 이에 따라 블라인드 볼트 인장강도는 KS에서 제시하는 F8T 최소 인장 하중으로 결정하였다.
2.3 토크 계수 시험
KCS 14 31 25[9]에서 마찰 접합 시 적용되는 볼트의 조임 축력 범위에 따라 성능 수준을 구분하고 있다. 이 연구에서는 블라인드 볼트의 축력 수준을 평가하기 위해 직경별로 30세트의 시험을 수행하였으며, 로드셀에 시험체 체결 후 축력을 계측하였다. 시험에 사용된 블라인드 볼트는 표면에 윤활 처리를 적용하였으며, 이에 따라 KCS 14 31 25[9]에 규정된 A종 조건에서의 시험만을 수행하였다.
토크 계수 시험은 전용 토크 쉬어 렌치를 이용하여 로드셀에 블라인드 볼트를 체결한 후, 핀테일이 파괴될 때까지 조이는 방식으로 수행하였다. 이때, 로드셀에 기록된 최대 하중을 축력으로 계측하였다. 시험으로 계측하여 제시한 별도의 축력 범위를 KCS 표준에서 제시하는 F8T 및 F10T 볼트의 축력 범위와 비교하여 평가하였다.
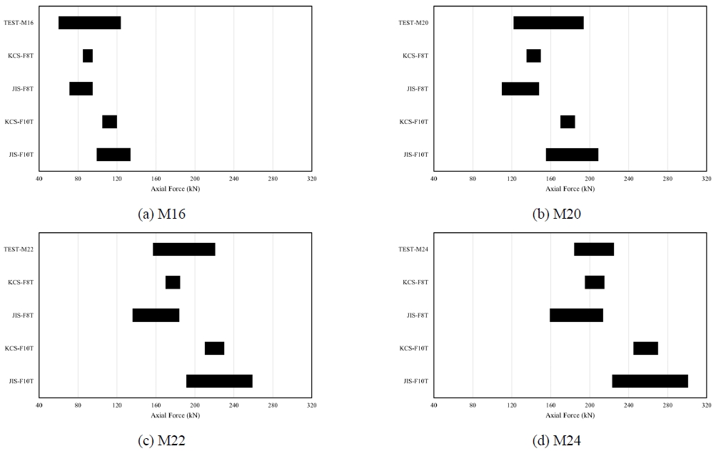
토크 계수 시험을 통해 계측된 축력 범위인 Table 5는 KCS 및 JIS 표준에서 제시하는 F8T 및 F10T의 기준 축력 범위와 비교 분석하였다. Fig. 5(a)–Fig. 5(d)는 M16, M20, M22, M24 볼트 각각에 대한 시험결과(TEST)와 KCS 14 31 25[9], JIS-F8T, KCS-F10T, JIS-F10T)와 나타내어 블라인드 볼트 체결 시 계측되는 실제 축력 수준을 시각적으로 Fig. 5와 같이 비교하였다.
M20, M22, M24의 경우 모두 F8T 기준을 상회하는 성능을 보였으나, M16 시험체 중 일부는 F8T 기준보다 낮은 축력값을 나타낸 사례도 관찰되었다. 이는 블라인드 볼트 특성상 헤드 포밍 슬리브의 압착 과정에서 발생하는 체결력의 변동성에 기인한 것으로 판단된다. 이러한 체결력의 불확실성은 마찰접합에서 요구되는 안정적인 축력 확보에 구조적 한계를 야기할 수 있으며, 결과적으로 마찰접합용 볼트로의 직접적인 사용에는 제한이 있다고 판단된다. 다만, 시험 결과를 바탕으로 JIS B 1186[10]의 F8T 기준을 참고하여, 일본 원사이드 볼트와 유사한 별도의 체결 축력 기준을 설정하는 것이 가능할 것으로 보이며, 그 제안된 축력 범위는 Table 5에 제시하였다. 블라인드 볼트는 F8T 및 F10T 고장력 볼트와 달리 체결 축력의 정밀한 제어에는 제약이 있으므로, 마찰접합보다는 전단 접합 또는 인장 접합과 같이 체결력의 영향을 덜 받는 접합 방식에 적용하는 것이 구조적으로 더 적합하다고 판단된다.
3. 볼트 접합 시험
이 연구에서는 블라인드 볼트의 접합부 성능을 평가하기 위해 실구조에서 주요 하중전달 메커니즘을 모사할 수 있도록 전단 접합 시험과 인장 접합 시험을 계획하였다.
블라인드 볼트 접합부 성능 시험은 M16, M20, M22, M24의 네 가지 직경의 시험체를 대상으로 수행하였다. 전단 접합 시험에서는 각 조건에 대해 3본의 시험체로 구성하였으며, 인장 접합 시험은 2본씩 구성하여 반복 실험을 실시하였다.
3.1 전단 접합 시험
볼트의 전단 강도에 대해서는 인장강도, 항복강도와는 달리 별도의 기준값이 존재하지 않으므로, 강재의 파괴이론을 기반으로 전단 강도는 인장강도의 60 %–70 % 수준으로 가정하여 성능을 평가하였다. 블라인드 볼트 특성상 볼트 샤프트와 그립 슬리브에 의해 전단 저항을 하는 구조이므로 일반 고장력 볼트보다 높은 전단 저항 성능을 보일 것이라 예상하였다. 볼트의 인장시험 결과 인장강도가 800 MPa 급인 것을 감안하여 블라인드 볼트의 전단 성능을 인장강도의 70 %인 560 MPa 가정하여 시험체를 설계하였다.
볼트의 전단 접합 시험의 파괴 모드는 볼트의 전단 파괴(Bolt shear), 강판의 파괴(Net-section), 볼트 구멍의 지압 파괴(Bearing)로 예상하였다. 전단 접합 시험의 목적은 블라인드 볼트의 전단 성능을 평가하는 것이므로 볼트의 전단 강도 이상의 하중에서 강판이 항복하도록 강판의 두께와 강도를 설정하였다. 시험체는 1면 전단을 적용하여 볼트의 몸통부에서 파괴되도록 Fig. 6와 같이 설계하였다. 시험편은 M16, M20, M22, M24에 대해 각각 3본씩 계획하였으며, 볼트의 길이는 식 (1)을 기준으로 산정하였다. 식 (1)에서 Lth는 여장길이로, 이는 너트와 볼트가 체결되는 나사산 길이를 의미하며, 전단 및 인장력을 전달하는 유효 체결 구간이다. 체결 후에는 체결 플레이트 두께와 동일해지므로 Fig. 6와 같이 나타난다.
| (1) |
- 여기서, Bconnect : 볼트의 체결 두께(mm)
- Pt : 체결할 플레이트의 두께(mm)
- HFt : STS Sleeve 머리 형성 두께(mm)
- Wt : 와셔의 두께(mm)
- Hn : 너트의 높이(mm)
- Lth : 여장길이(mm)
전단 접합 시험에서 시험체 설계 시, 볼트의 전단 파괴, 강판의 파괴, 볼트 구멍의 지압 파괴의 3가지 파괴모드에서 파괴 하중을 계산하여 볼트의 전단 파괴가 유도되도록 시험체를 설계하기 위해 각각의 파괴모드에서 시험하중을 계산하였다.
블라인드 볼트 구조상 볼트 몸통부를 감싸는 슬리브도 함께 전단 저항을 하는 구조이므로, 슬리브를 포함하여 강도를 산정하였다. 전단 하중은 볼트 몸통부와 슬리브가 병렬로 하중을 분담하는 형태로 전달되며, 이로 인해 볼트에 응력이 집중되지 않고 분산되는 효과가 발생한다.
코어 볼트의 인장강도는 800 MPa이므로, 이의 70 % 수준인 560 MPa로 전단 강도를 설정하였다. 그립 슬리브는 볼트 샤프트와 달리 SCM440 재질을 사용하여 제작되었기 때문에, SCM440 강재의 인장시험 데이터를 이용하여 인장강도 898 MPa의 70 %인 629 MPa을 전단 강도로 산정하였다.
블라인드 볼트의 전단 강도는 볼트 샤프트와 슬리브의 강도 기여도에 따라 식 (2), 식 (3)으로 계산될 수 있다. 그립 슬리브가 파괴된 후 볼트 샤프트가 순차적으로 파괴되는 각개파괴의 경우, 식 (2)와 같이 그립 슬리브와 볼트 샤프트 두 가지의 전단 하중 중 큰 값으로 전단 하중이 산정된다. 동시파괴의 경우, 그립 슬리브와 볼트 샤프트가 함께 파괴되며 동시에 하중을 분담하여, 단일 볼트 단면에 응력이 집중되지 않는 구조로 나타난다. 이에 따라 식 (3)과 같이 그립 슬리브와 볼트 샤프트가 힘을 동시에 받으므로 일체 거동을 하는 것으로 가정하여 계산하였다. 파괴모드는 Fig. 7(a)와 같다.
| (2) |
| (3) |
- 여기서, W : 볼트의 전단 파괴 하중(kN)
- Ss : 그립 슬리브의 전단강도(MPa)
- Sb : 볼트 샤프트의 전단강도(MPa)
- As : 그립 슬리브의 단면적(mm2)
- Ab : 볼트 샤프트의 단면적(mm2)
강판의 파괴는 볼트가 체결된 후 플레이트의 좌측과 우측에서 연단 파괴가 발생하는 경우를 가정하였으며, 식 (4)와 같이 파괴 하중을 정의한다. 강판 파괴에 의한 파괴 메커니즘은 Fig. 7(b)와 같다.
| (4) |
- 여기서, Wp : 강판의 항복 하중(kN)
- σy : 강판의 항복 응력(MPa)
- b : 플레이트 폭(mm)
- d : 그립 슬리브의 외경(mm)
- t : 플레이트 두께(mm)
볼트 구멍의 지압파괴는 외력으로 인해 볼트홀에 지압이 발생할 때를 가정하였다. 볼트 구멍의 지압파괴가 발생하는 하중은 강판의 항복강도를 기준으로 식 (5)와 같이 산정하였다. 지압파괴로 인한 파괴 메커니즘은 Fig. 7(c)와 같다.
| (5) |
- 여기서, Wc : 볼트 구멍 지압 발생 시 파괴 하중(kN)
- db : 볼트 구멍 직경(mm)
- t : 플레이트 두께(mm)
- σy : 강판의 항복 응력(MPa)
시험 대상인 M16, M20, M22, M24 볼트의 전단강도는 식 (3)으로 산정하였을 때, 각각 192 kN, 287 kN, 366 kN, 449 kN으로 산정되었다. 시험체는 1면 전단으로 고려하였으며, 시험 시에는 편심이 발생하지 않도록 시편 물림부의 강판에 동일한 두께의 강판을 덧대어 용접접합 하였다. 시험용 강재 플레이트는 모두 SM355를 사용하였으며, 강재의 두께는 각각 볼트의 길이에 맞춰 36 mm, 52 mm로 하였다. 전단 시험체의 연단 거리는 볼트구멍 크기의 3배로 하였고, 폭은 연단거리의 2배로 하였다. 시험체의 각 파괴모드에서의 예상 전단강도는 Table 6에 정리하였다. 시험은 인장시험기 정격용량 3,000 kN UTM을 사용하여 볼트가 전단 파괴될 때까지 인장 방향으로 하중을 적용하였다.
전단 접합 시험 시 하중은 플레이트의 길이 방향으로 인장력 형태로 작용하였으며, 이는 볼트가 위치한 전단면에 수직 방향으로 하중이 전달되도록 하였다. 볼트의 체결력은 KCS 14 31 25[9]에 제시된 설계 볼트 장력의 60 %를 적용하여 실험 시 강판에서 미끄럼이 발생하지 않을 정도로 적용되었으며, 결과적으로 마찰력이 아닌 전단력 중심의 파괴 거동이 발생하였다. 이러한 조건 하에서 응력은 볼트 몸통부와 그립 슬리브 사이의 접촉면에 집중되지 않고, 두 부재가 동시에 하중을 분산하여 전달하는 형태로 작용하여 모든 시험체에서 볼트와 슬리브가 동시에 전단 파괴되는 동시파괴 모드가 일관되게 관찰되었다.
실제 평균 파괴강도는 M16, M20, M22, M24 시험체에 대해 각각 242 kN, 367 kN, 451 kN, 533 kN으로 나타났으며, 이는 Table 6에서 산정한 동시파괴 기반 이론 전단강도를 상회하는 결과로 나타났다. 응력 분포 측면에서는 슬리브가 볼트 샤프트를 감싸며 구조적으로 병렬 저항 경로를 형성함으로써 응력 집중을 완화시키고, 부재 전체에 걸친 균등한 응력 분포를 유도하는 것으로 분석된다. 또한, 동일한 형상 조건을 가진 F8T 고장력 볼트를 설계 기준에 따라 전단강도를 산정하였을 때, 각각 75 kN, 118 kN, 145 kN, 169 kN으로 산정되었으며, 이 연구에서 사용된 블라인드 볼트는 F8T 대비 약 2.4배 이상의 전단 성능을 확보하였고, 이는 구조역학적으로도 슬리브 병렬 저항 효과와 볼트 샤프트 일체화 구조에 따른 응력 분산 메커니즘을 통해 설명 가능함을 확인하였다.
3.2 인장 접합 시험
볼트의 인장 접합 성능은 토크-전단형 볼트인 TS 볼트와 비교하여 성능을 검증하고자 하였다. 인장 접합 시험체는 T형으로 만들어 여러 파괴모드에 대하여 비교하였다. 인장 접합 시험은 M16×105 mm, M20×155 mm, M22×160 mm, M24×165 mm 볼트에 대해 시험을 수행하였으며 시험의 신뢰성 확보를 위해 볼트 호칭별로 2본씩 총 16개의 시험체를 제작하였다.
인장 접합 시 블라인드 볼트는 하중이 볼트의 축방향으로 작용함에 따라 인장력을 직접적으로 전달할 수 있으며, 각 볼트의 인장 성능을 최대한 활용할 수 있는 구조이다[11]. 이 연구에서는 볼트에 의한 인장 접합 성능을 확인하는 것을 목표로 하므로, 강판 항복 전 볼트에 직접적으로 인장력을 작용하며 볼트가 먼저 파괴되도록 시험체를 설계하였다.
볼트가 먼저 파괴되도록 하기 위해 T형 인장시험체의 플랜지 두께 및 볼트홀의 위치를 Fig. 8, Table 7과 같이 결정하였다. 전단 접합 시 사용한 강판과 동일하게 플레이트의 강종은 SM355로, 두께는 36 mm, 52 mm로 제작하였다.
T형 인장시험체는 플랜지와 웨브의 용접 접합 과정에서 발생한 열변형으로 인해 상하부 웨브가 수직으로 제작되지 못하였다. 시험체가 인장하중을 받으며 발생할 수 있는 편심을 간접적으로 평가하기 위해 플랜지의 볼트 체결부 측면에 변형률 게이지를 부착하여 Fig. 8과 같이 변형률을 측정하였다. 인장시험은 시험체 하부를 시험기에 고정하고, 상부 플랜지에 부착된 변형률 게이지 값을 계측하며 수행되었으며, 상부 시험체는 별도로 시험기에 고정되었다. 상하부 T형 인장 접합 시험체 간 벌어짐을 측정하기 위해 Fig. 8과 같이 웨브에 선형 변환기 위치 센서인 LVDT를 설치하였다.
T형 인장 접합 시험체는 각각 볼트 파괴(Simple), 플랜지 항복에 의한 볼트 파괴(Semi-fixed), 플랜지 항복(Fixed)의 세 가지 파괴모드로 나타나며, 각각의 파괴모드에 따른 명칭은 하중 전달 메커니즘을 기준으로 설정하였으며 Fig. 9과 같다[12]. 각 파괴모드는 서로 다른 하중 전달 메커니즘 및 변형 특성을 가지며, 이는 Liang et al.[13]에서 정의하는 T-stub 항복 유형과도 상응한다.
볼트 파괴(Simple)는 Fig. 9(a)와 같이 볼트 축방향 인장력이 직접 전달되어 소성 힌지 없이 볼트가 파괴되는 형태로, 구조적으로 가장 단순한 하중 경로를 따르며, 인장 접합 시험체의 주요 파괴모드이다. 볼트가 파괴될 때의 인장하중은 식 (6)과 같이 볼트의 개수에 따라 인장 하중을 산정한다.
| (6) |
- 여기서, W1 : 볼트가 파괴될 때의 하중(kN)
- T : 강판의 항복 하중(MPa)
플랜지 항복에 의한 볼트 파괴(Semi-fixed)는 Fig. 9(b)와 같이 시험체의 T-stub의 일부가 항복하여 소성 힌지가 형성되고, 이에 따라 볼트에 작용하는 인장력이 감소하면서 하중은 플랜지의 휨 저항을 통해 일부 분산된다. 볼트의 파괴강도 외에 플랜지의 항복 및 지렛대의 원리를 고려하여 식 (7)과 같이 산정한다.
| (7) |
- 여기서, W2 : 플랜지 항복 후 볼트 파괴 시 하중(kN)
- Mp : 소성 모멘트(kN⦁m)(= wt2/4)
플랜지 항복(Fixed)은 플랜지 양측에 소성 힌지가 발생하여 구조 전체가 소성 메커니즘에 근거한 하중 전달 체계를 형성한다. 이러한 경우 볼트 자체보다는 플랜지의 휨 저항이 주요 역할을 하며, 큰 연성 거동을 보인다. 볼트 접합부 안쪽의 플랜지에서만 변형이 나타나므로 식 (8)과 같이 산정한다. 파괴모드 3의 상세는 Fig. 9(c)와 같다.
| (8) |
- 여기서, W3 : 플랜지 항복 시 하중(kN)
- Mp : 소성 모멘트(kN⦁m)
블라인드 볼트의 인장 접합 성능 수준을 평가하기 위해 토크-전단형 볼트인 TS 볼트와 비교하여 시험을 수행하였다. TS 볼트 인장 접합 시험 결과, 인장 접합 시험체의 상하부가 연직을 이루지 못함에도 불구하고, 시험 중 플랜지 측면에 설치된 변형률 게이지에서 변형이 거의 측정되지 않았다. 이는 볼트가 두꺼운 플랜지에 접합되어 있어, 볼트에 작용하는 응력 변화가 플랜지 측면까지 전달되지 않은 것으로 판단된다.
TS 볼트와 블라인드 볼트의 시험 결과는 볼트 종류에 따라 비교함과 동시에 예상 강도와 비교하여 성능을 검증하였다. 예상 강도는 시험의 목적에 따라 볼트 파괴(Simple)와 같은 방식으로 파괴되도록 설계하였으므로, 볼트 종류 및 강도 등급에 따라 식 (6)을 이용하여 산정된 파괴 강도를 의미한다. Fig. 10에서는 각각 인장강도 800 MPa 및 1,000 MPa급의 블라인드 볼트와 인장강도 1,000 MPa급의 TS 볼트에 대해 예상 강도와 실험 결과를 비교하였다.
규격화된 볼트 머리를 사용한 TS 볼트의 접합체는 최대 하중에서 변위를 1 mm 초과한 반면, 블라인드 볼트는 최대 하중에서 4 mm 이상의 변위를 보였다. 이는 블라인드 볼트 특성상 볼트에 형성되는 헤드 포밍 슬리브에서 큰 변형이 발생한 것이라 판단하였다.
블라인드 볼트 시험 결과 모든 시험체에서 볼트 종류 및 강도 등급에 관계없이 볼트 파괴(Simple) 모드로 나타나며, 예상 강도 이상의 성능으로 나타났다. 블라인드 볼트의 인장 접합 성능은 TS 볼트와 비교하여 동등 이상의 우수한 성능을 보였으므로, F8T 급의 인장 접합용 볼트로 충분히 적용 가능할 것으로 판단하였다.
4. 결 론
이 연구에서는 편측 체결 방식을 사용하는 블라인드 볼트의 성능을 평가하였다. KS B 1010[6] 및 KCS 14 31 25[9]에서 정의하는 기계적 성질을 기준으로 시험편 인장시험, 쐐기 받침 인장시험, 토크 계수 시험을 수행하여 F8T, F10T 고장력 볼트와의 성능을 비교하였다. 또한, 볼트 접합부 성능 평가를 위해 전단 접합 시험과 인장 접합 시험을 수행하여 다음과 같은 결론을 도출하였다.
- (1) 시험편 인장시험에서 블라인드 볼트는 KS B 1010[6]에서 제시하는 F8T 등급의 기계적 성능 요구조건과 비교 시, 평균 항복강도는 F8T 기준 대비 약 22 % 높은 수준으로 나타났으며, 평균 인장강도 또한 기준값 대비 약 15 % 이상 높은 수준으로 평가되었고, 평균 연신율은 F8T 기준인 14 %를 20 % 이상 상회하는 결과로 나타났다.
- (2) 쐐기 받침 인장시험 결과, 블라인드 볼트는 KS B 1010[6]에서 제시하는 F8T 기준 인장강도와 비교 시, 각 직경별 95 % 신뢰 하한값은 F8T 기준값 대비 M16은 약 39 %, M20은 약 50 %, M22는 약 27 %, M24는 약 23 % 상회하는 결과로 나타났으며, 이에 따라 이 연구에서는 각 직경별 F8T 기준값, 95 % 신뢰 하한값, 시험 최소 인장강도 중 가장 작은 값을 블라인드 볼트의 설계 인장 하중으로 제안하였다.
- (3) 블라인드 볼트의 토크 계수 시험 결과, M20 이상의 시험체에서는 KCS 14 31 25[9]와 JIS B 1186[10]에서 제시하는 F8T 고장력 볼트의 축력 기준을 상회하는 성능을 보였으나, 일부 M16 시험체에서는 기준 축력보다 낮은 사례가 관찰되었다. 이는 헤드 포밍 슬리브 압착 방식에 기인한 체결력의 변동성이 원인인 것으로 판단되며, 마찰접합과 같이 일정한 축력이 안정적으로 요구되는 접합 방식에서 구조적 한계로 작용할 수 있다. 이에 따라 이 연구에서는 일본의 원사이드 볼트와 유사한 체결 방식 및 시험 결과를 바탕으로, 마찰접합용 고장력 볼트와는 구분되는 별도의 체결 축력 기준을 제안하였다.
- (4) 블라인드 볼트의 전단 접합 시험 결과, 모든 시험체에서 동시파괴에 의해 산정된 강도 이상의 하중에서 파괴가 발생하며 동시파괴 모드로 파괴된 것으로 판단하였고, 이에 따라 블라인드 볼트의 전단강도는 볼트 몸통부와 그립 슬리브 전단강도의 합으로 계산할 수 있을 것으로 판단하였다. 결과적으로는 블라인드 볼트의 전단강도는 F8T 고장력 볼트 설계 전단강도 대비 약 2.4배 이상의 전단 성능을 확보한 것을 확인하였다.
- (5) 인장 접합 시험 시 하중 지지 메커니즘을 기준으로 파괴모드를 산정하였으며, 시험편은 볼트의 인장 접합 성능을 확인하기 위해 볼트에서만 파괴가 발생할 수 있도록 설계하였다.
- (6) 블라인드 볼트의 인장 접합 성능을 평가하기 위해 TS 볼트와 비교하여 시험을 수행한 결과, 모든 시험체에서 볼트 파괴(Simple) 모드가 발생하였으며, M16 및 M24 시험체에서는 TS 볼트 대비 약 2 %에서 16 % 높은 강도를 나타냈으며, F8T 급 인장강도와 비교할 경우 약 20에서 33 % 이상 우수한 수준으로 평가되었다.
- (7) 블라인드 볼트는 인장강도 800MPa급 F8T급 고장력 볼트와 비교하여 기계적 성질 및 접합부 성능 면에서 모두 동등하거나 우수한 수준을 보이며, 외부에서 접근이 어렵고 편측 체결이 요구되는 폐단면 구조물 등에서 F8T 고장력 볼트를 대체하여 블라인드 볼트를 적용하는 것이 충분히 타당할 것으로 판단된다.
Acknowledgments
본 연구는 (주)포스코와 정부(과학기술통신부)의 재원으로 한국연구재단의 지원을 받아 수행된 연구임(NO.2022R1F1A1074002).
References
- Lee, M.H., Cho, S.H., Kim, J.H., Park, G.Y., and Jin, J.H. (2017) Application and Performance Evaluation of High Strength Oneway Bolt for Connection of Closed Section Members, Journal of the Architectural Institute of Korea Planning and Design, AIK, Vol.37, No.1, pp.1035–1038 (in Korean).
- Choi, I.R., Lee, M.S., and Jeong, K.S. (2024) Bolt Head Rotation Fastening Method with Nut Cap for High-Strength Bolt Connections, Journal of Korean Society of Steel Construction, KSSC, Vol. 36, No. 6, pp.41–47 (in Korean).
-
Park, Y.S., Kim, J.W., Kim, S.H., and Park, H.Y. (2025) Study on the Structural Performance of Rectangular Hollow Section Column-H Beam Connection Detail with Rigid Panel Zone Element, Journal of Korean Society of Steel Construction, KSSC, Vol.37, No.1, pp.11–23 (in Korean).
[https://doi.org/10.7781/kjoss.2025.37.1.011]
-
Lee, S. (2021) Finite Element Analysis Model for Bolted Connections in Modular Construction, Journal of Korean Society of Steel Construction, KSSC, Vol.33, No.6, pp. 347–354 (in Korean).
[https://doi.org/10.7781/kjoss.2021.33.6.347]
-
Oh, S.H., and Park. S.M. (2025) Strength Design Equation and Optimal Design Range Proposal for Haunch-Type Energy Absorpation Device in Seismic Reinforcement of Steel Structure Connections, Journal of Korean Society of Steel Consturction, KSSC, Vol.37, No.2, pp.87–97 (in Korean).
[https://doi.org/10.7781/kjoss.2025.37.2.087]
- Korean Standards Committee (2022) Friction Joint High-Strength Hexagonal Bolts, Nuts, and Washers Set, KS B 1010: 2022 (in Korean).
- Korean Standards Committee (2023) Tensile Testing Methods for Metallic Materials, KS B 0802: 2023 (in Korean).
- Korean Standards Committee (2023) Metallic Material Tensile Specimens, KS B 0801: 2023 (in Korean).
- Ministry of Land, Infrastructure and Transport (2022) Specifications for Steel Structures, KCS 14 31 15: 2022 (in Korean).
- Japanese Standards Association (2004) Hexagon Bolts - Mechanical Properties and Test Methods. JIS B 1186:2004, Japan (in Japanese).
-
Lee, S.Y., Choi, J.H., and Kim, K.T. (2015) Experimental Study on Static Strength of High-Strength Bolt T-Joint Connections, Journal of Korean Society of Steel Construction, KSSC, Vol.27, No.1, pp.53–61.
[https://doi.org/10.7781/kjoss.2015.27.1.053]
-
Wang, Z.Y., Tizani, W., and Wang, Q.Y. (2010) Strength and Initial Stiffness of a Blind-Bolt Connection Based on the T-stub Model, Engineering Structures, Elsevier, Vol.32, No.9, pp.2505–2517.
[https://doi.org/10.1016/j.engstruct.2010.04.005]
-
Liang, G., Guo, H., Liu, Y., Yang, D., and Li, S. (2019) A Comparative Study on Tensile Behavior of Welded T-stub Joints Using Q345 Normal Steel and Q690 High Strength Steel under Bolt Preloading Cases, Thin-Walled Structures, Elsevier, Vol.137, pp.271–283.
[https://doi.org/10.1016/j.tws.2019.01.023]










